波在宇宙中是一种神奇的存在,是一种能量的载体,也是传递力的方式。我们熟知的水波、声波、光波都是以波的形式在传递能量!当然也包括所有的波长的电磁波,就连本该是粒子的微观世界也具有波动性。这不仅让我深思,波到底是什么东西?
振动和最基本的简谐运动,这是理解波的开始。

波每时每刻都在我们周围,它不仅让我们听到美妙的音乐,还可以为我们加热食物、享受刺激的水上运动,甚至可以说没有波地球就不会有生命,因为我们地球万物沐浴的阳光,也是一种波——电磁波。从古希腊开始,人们就对波产生了浓厚的兴趣,公元前550年毕达哥拉斯观察并描述了振动的弦是如何产生声音的。
伽利略·伽利莱、罗伯特·波义耳和艾萨克·牛顿都在这一领域有了自己的发现,但直到18世纪达朗贝(d'Alembert)推导出了波动方程,才使得这一领域变得清晰,并使许多未来的科学家才有可能解释波动现象。其中波动方程也揭示了波的传播速度是有限的而不是瞬时,这也为以后的狭义相对论提供了支持。
波的基本原理
简单地说,波是一种传播的扰动;是一种通过介质传递能量的方式。不同的波在不同的介质中传播,例如:机械波、水波和声波。曾几何时我们一直认为,任何波的传递都需要介质,我们甚至自己发明出了以太这种并不存在的物质,以解释电磁波的传递,但自从迈克逊-莫雷实验以后,我们才认识到原来电磁波不需要介质就可以传播,甚至引力波也可以通过扰动空间的方式传播。
根据波的传播方式,我们有两种基本的波:横波和纵波。因为这是个比较大的概念,所以在这篇文章中,我们将更多地关注横波(电磁波就是横波)。

对于纵波来说,质点被扰动的方向与波传播的方向平行,介质中质点之间会被压缩和膨胀。另一方面,横波沿着与质点运动垂直的方向移动,所以当质点上下振动时,波会向左或向右移动。回想下上篇文章我们介绍的简谐运动,横波就与之相关。
介质是相互作用的质点集合在波传播的过程中质点一直在相互影响,现在你想象一根弦,并且向上移动一个质点,其他的质点也会跟着移动。最简单的形象化的方法就是用一个弹簧,当弹簧中的第一个线圈受到干扰时,它会推或拉第二个线圈,第二个线圈也会对第三个线圈做出同样的动作,这时我们就能看到波动。线圈会上下移动,但波会左右传播。对于横波,介质中的每一个质点都在一个固定的位置上振荡,波的传播方向垂直于这个振荡。下图:

波不沿传播方向移动质量,波只传递能量。

在横波中上下振动的质点使它们旁边的质点也开始振动。质点之间没有相互传递质量,也没有收缩或扩张。质点所做的就是把能量传递给另一个质点,如果没有能量传递,另一个质点就不会振动,也不会形成波。波没有质量的运动,被认为是能量传输的现象。我们需要知道的是,能量总是以波的形式在传输,那么你觉得体育场的人浪真的是波浪吗?不,我们称人浪为波,只是因为人浪的运动类似于波的运动,但人和人之间由于没有发生能量的转移,所以它们不是真正的波。
对波的描述
频率、波长和振幅我们可以用很多物理量来描述一个波,但最重要的是波的频率、波长和振幅。波的振幅(A)是粒子从其平衡位置的最大位移,我们也称它为波的高度,类似于上篇文章简谐运动的振幅。
波长(λ)是波一个周期的长度,可以在波的任何地方看到,在两个连续的波峰、波谷或波的任何其他两个等效点之间的距离。因为振幅和波长都在测量距离,所以它们都以米(m)为单位。

周期我们还需要解释的另一件重要的物理量是周期。波周期(T)是任何质点完成一个完整振动周期所需要的时间,也就是一个质点从它开始的地方振动,然后回到它开始的地方所需要的时间。以秒为单位测量,并且与频率有直接的关系。我们总是可以从一个得到另一个,因为频率是在一定时间周期内沿波的任何点完成的波周期数,以赫兹为单位(Hz),f=1/T。

重要的是要认识到,根据坐标轴的不同,在上图中可以观察到不同的内容。如果我们在x轴上用米来表示位移,那么我们可以清楚地看到从一个波峰到另一个波峰的距离,也就是波长,但是如果我们在x轴上放上时间,那么我们就可以看到从一个波峰到另一个波峰的周期。在这两种情况下在我们可以在y轴上看到波的振幅。
波速我们也可以把速度放在x轴上,但是我们先下一个定义,在物理中的速度的定义是这样的:物体在一定时间内通过的距离,波的速度也是这样的,简单的说就是,距离除以时间。

波速告诉我们波的传播速度,它可以用波长和周期来表示,也可以用波长和频率来表示。在这两种情况下,速度都是以m/s为单位测量的。
相位差在继续讨论波动方程之前,我们还需要学习的是波的相位。它是一个角度量,以弧度为单位。我们说被一个完整周期分开的相邻点是同相的,而那些被半个周期分开的点是异相的。可以在下图中看到相位差的样子。
相位差又称“相角差”“相差”“周相差”或“位相差”。两个作周期变化的物理量的相之间的差值。它为正值时称前者超前于后者,为负值时则滞后于后者。它为零或π的偶数倍时,两物理量同相;为π的奇数倍时则称反相。

波动方程
上文中已经涵盖了很多关于波的常识,然而,到目前为止所看的一切只能看作是对波的简单介绍。下面将介绍波的实际定义。让我们先总结一些上文的一些内容:
波长:波的一个周期的长度,单位为米(m)
振幅:平衡位置最大位移,单位为米(m)
周期:波完成一个完整周期的时间,单位为秒(s)
频率 :单位时间内完成的周期数,单位赫兹(Hz)
速度:波速,单位(m/s)
相位:时间点的位置,单位弧度
用数学方法描述波时,最基本的波是一维正弦波。我们用下面的方程来描述振幅u:
u(x,t)=Asin(kxωt+)
x和t是时间和空间坐标,A是最大振幅,k是波数,ω是角频率和是相位。
我们可以用正弦或余弦两种方式来表示空间中一个平面内的行波:

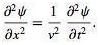
一维波动方程是一维波的主偏微分方程的解:
当然,波动方程的解可以用几种方法来表示。这取决于我们对相关参数的选择。

总结
以上的内容并不是波的所有内容,我个人认为波是相当复杂的物理学,今天介绍的只是我们需要了解的基础性知识。在这篇文章中,我们讨论了以下内容:
波是如何产生和与振动相关的纵波和横波的差异横波的简单描述:a,v,T,f,λ,波函数与方程。
永阳微波商城提供微波、毫米波解决方案。
(文章来源:百家号 量子科学论,如有侵权请联系删除)